Hur en ledning påverkas av cirkulärt hål i jordplan.
En enkelledare går på höjden h över ett stort jordplan. Om vi antar att ledarens radie är mycket mindre än höjden
kan dess induktans per längdenhet skrivas ![]()
och dess kapacitans per längdenhet
där K ges av:


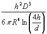
Ett cirkulärt hål enligt figuren kan enligt [1] modelleras som diskreta kretselement, en shuntkapacitans Ch och en serieinduktans Lh.
Storleken på dessa element är
![]()
och
![]()
där faktorn F är

[1] K.S.H. Lee and F. C. Yang, A Wire Passing by a Circular Aperture in an Infinite Ground Plane.
Interaction note 317, June 1977*
* På Emicons hem sida finns ett stort antal Interacton notes listade under EMC-litteratur, EMP notes.